U IGRI OZBILJNE CIFRE: Kolike se tačno otpremnine nude radnicima „Šuma RS“ i a ko taj novac neće dobiti
Pravilnik o stimulativnim otpremninama u „Šumama RS“, kojeg su aminovala dva reprezentativna sindikata i poslala ga na usvajanje upravi preduzeća, već danima je glavna tema u šumarskim krugovima.
Ovaj dokument je u posjedu Srpskainfo, pa prenosimo najzanimljivije detalje.
U cilju smanjenja broja zaposlenih u “Šumama RS”, ili, kako se navodi, radi “optimizacije broja radnika”, šumarima je ponuđeno da uz izvjesnu naknadu daju sporazumni otkaz, ili da odu u penziju prije nego što bi to morali po sili zakona.
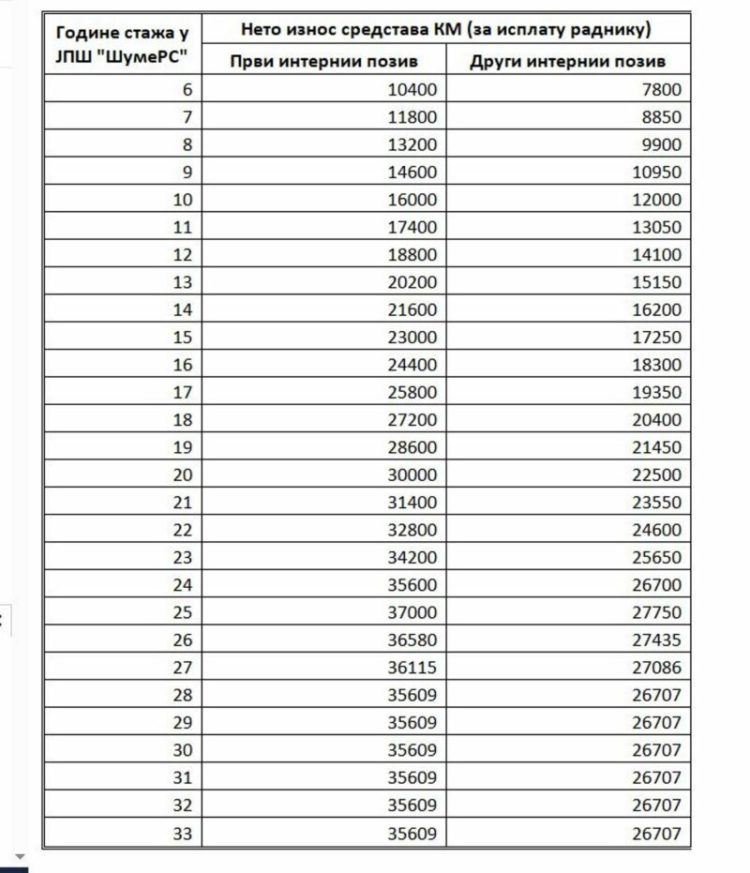
Kako se vidi iz tabele, koja je dio preloženog pravilnika, pravo na stimulativnu otpremninu i naknadu za ekonomsko socijalno zbrinjavanje, imaju radnici koji u “Šumama RS” imaju najmanje 6 godina radnog staža.
Prema stažu se određuje i iznos otpremnine. Ko ima 6 godina staža u “Šumama RS” može računati na 10.400 KM, ko je u ovom preduzeću radio 7 godina, može dobiti 11.800 KM, za 8 godina staža sleduje 13.200 KM, a za 9 godina rada u” Šumama RS” 14.600 KM.

Sa 10 i više godina staža i cifre su ozbiljnije: od 16.000 KM do čak 37.000 KM, koliko može dobiti radnik koji je u “Šumama RS” bio zaposlen 25 godina.
Zanimljivo je da oni sa najviše staža, dakle šumari koji su u ovom javnom preduzeću radili čak 33 godine, mogu računati na manju otpremninu, u iznosu od tačno 35.609.
To je i iznos otpremnine koja će, ako se ovaj pravilnik usvoji, dobiti radnici sa 28 i više godina staža u “Šumama RS”.
Sve ove cifre se odnose na prvi poziv, odnosno na one koji se odmah prijave za sporazumni raskid radnog odnosa.
Šumari koji se prijave na drugi javni poziv, dobiće znatno manje: od 7.800 KM do maksimalnih 27.750 KM.
Ima i onih radnika, koji taj novac nikada neće vidjeti, a ako napuste posao u “Šumama RS” otići će praznih džepova.
Pravilnikom je, naime, propisano da deficitarni kadrovi ne mogu podnijeti prijavu za sporazumni otkaz uz isplatu stimulativne otpremnine i naknade.
Ko je deficitaran, odnosno neophodan za “obezbjeđivanje održivog odvijanja procesa rada”, odrediće uprava “Šuma RS”.
– Radnici deficitarnih zanimanja neophodnih za normalan rad Javnog preduzeća, a koji su utvrđeni spiskom od strane Uprave Javnog preduzeća, ne mogu biti proglašeni tehnološkim viškom u naredne 3 godine – navodi se u pravilniku.
Propisano je i to da, ako se ipak ispostavi da su ti neophodni postali prekobrojni, oni će imati pravo da dobiju otpremnine i naknade u visini koju su mogli ostvariti u momentu utvrđivanja spiska deficitarnih zanimanja.
Priča o drastičnom smanjenju broja zaposlenih u “Šumama Republike Srpske” počela je još u novembru prošle godine, kada je pomoćnik ministra poljoprivrede za šumarstvo, Radenko Laketić, izjavio da ovo preduzeće ima 1.000 radnika viška.
Ovaj broj se, istina nezvanično, spominje i u posljednja dva mjeseca. Iz sindikata je za Srpsakinfo potvrđeno da je cilj da se u “Šumama RS”, koje imaju čak 4.341 radnika, brojno stanje smanji za 1.000, ali da bi u upravi bili zadovoljni ako bi se, u prvom krugu uz pomoć stimulativnih otpremnina, riješili 400 do 500 prekobrojnih. Pri tom su im ciljna grupa radnici sa smanjenom radnom sposobnošću i oni pred penziju.
Posebno pitanje je gdje naći novac za ovaj “poduhvat”. Ukoliko bi u prvom krugu otpremine uzelo samo 400 radnika, za to bi bilo neophodno obezbijediti skoro 10 miliona KM.
Što se tiče odgovora na ovo “nezgodno pitanje”, u pravilniku se navodi samo da se otpremnine neće isplaćivati iz “redovnih poslovnih sredstava Javnog preduzeća”.
– Sredstva za isplatu otpremnina i naknada imaju karakter sredstava posebnih namjena i obezbjeđuju se iz posebnih izvora – navodi se u pravilniku.
Inače, iz redovnih sredstava “Šuma RS” se ne može obezbijediti ništa, pa čak ni isplata plata i uplata doprinosa, iako većina šumara radi za minimalac.
(IZVOR: Srpskainfo)
